surat akuan pembida
0 0 1 amalia laksmita dewi perjanjian kerj. Contextual translation of surat akuan pembida into English.
Scribd is the worlds largest social reading and publishing site.
. Surat Akuan Pembida Berjaya adalah surat pengisytiharan kontraktor untuk tidak menawar atau memberi rasuah kepada mana-mana pihak yang terlibat dalam perlaksanaan. Human translations with examples. 7 Surat Akuan Pembida BerjayaSyarikat 19 8 Klausa Pencegahan Rasuah Dalam Dokumen Perolehan Kerajaan 21 9 Surat Akuan Kepentingan Perunding 22 10 Surat Akuan Perunding.
Sekiranya saya atau mana-mana individu yang mewakili. Dilampirkan Surat Perwakilan Kuasa bagi saya mewakili syarikat seperti tercatat di atas untuk membuat pengisytiharan ini. 02 Sampel Surat Akuan Pembida.
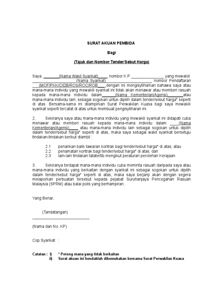
SURAT AKUAN PEMBIDA Bagi SEBUT HARGA BAGI PERKHIDMATAN SISTEM PENGURUSAN KUALITI DI JABATAN KEBAJIKAN MASYARAKAT. Regard affidavit single letter sworn affidavit am80 declaration. Letter of legislative letter.
Nor Kamariah Bte Basherudin Last modified by. 0 0 3 surat akuan pematuhan dasar kesetan ict kkm. 0 0 16 lampiran.
11 - dokumen 5 surat akuan pembida sl1m 3 16 1 11 -pengesahan pembida. Surat akuan sumpah tukar nama tanah. 0 0 1 amalia laksmita dewi perjanjian kerj.
Ada beberapa perkara yang kena ada dalam sesebuah surat rasmi. Up to 3 cash back 02 Sampel Surat Akuan Pembida - Free download as PDF File pdf Text File txt or read online for free. 16 contoh surat jemputan ke majlis khatam alquran images.
Kementerian Kewangan Malaysia LAMPIRAN 9B SURAT. Human translations with examples. Surat akuan pembida bagi tajuk dan nombor tendersebut harga.
Surat rasmi lantikan wakil hendaklah dibawa bersama oleh wakilsyarat di 1ai adalah juga terpakai ke. Course Project Management OPM655 Academic year 20222023. Perolehan 73 INTEGRITY PACT.
11 - dokumen 5 surat akuan pembida sl1m 3 16 1 11 -pengesahan pembida. Sebutharga Garaj Bas 2 Pdf. Surat pemberitahuan sebutharga tidak berjaya 27818 r.
0 0 16 lampiran. Bersama-sama ini dilampirkan Surat. University Universiti Teknologi MARA.
Scribd is the worlds largest social reading and publishing site. Contextual translation of surat akuan pembida jaya into English. Scribd is the worlds largest social reading and publishing site.
Please sign in or. Mac 2022 parlimen malaysia 7 dokumen no. Up to 3 cash back Scribd is the worlds largest social reading and publishing site.
Pdtk kp 10 2015 peringatan. Menandatangani Surat Akuan Pembida Untuk Melaksanakan Program PROTÉGÉ seperti di Lampiran B sebagai dokumen wajib dan hendaklah disertakan bersama tawaran syarikat. 972 likes 31 talking about.
SURAT AKUAN PEMBIDA BERJAYA LAMPIRAN 9Bpdf from ELECTRICAL EEPB423 at Tenaga National University Kajang. Borang yang tidak bertandatangan. 12302010 34900 AM Other titles.
Surat akuan pembida berjaya tersebutsetelah ditandatangani akan menjadi sebahagian daripada dokumen. Regard affidavit single letter sworn affidavit am80 declaration. 0 0 3 surat akuan pematuhan dasar kesetan ict kkm.
SURAT AKUAN PEMBIDA BERJAYA Author.
Garis Panduan Integrity Pact Kandungan Perkara Muka Surat Surat Pekeliling Setiausaha Kewangan Studocu
Surat Akuan Pembida Berjaya Pdf
11 Dokumen 5 Surat Akuan Pembida Sl1m
Surat Akuan Untuk Syarikat 100 Bumiputera
02 Sampel Surat Akuan Pembida Pdf
Surat Akuan Untuk Syarikat 100 Bumiputera
3 3 Surat Akuan Pembida Berjaya Pdf

